高级检索+

莲黄酮类化合物鉴定、功能与应用的研究进展

Advances in the identification, function, and application of flavonoids in Nelumbo

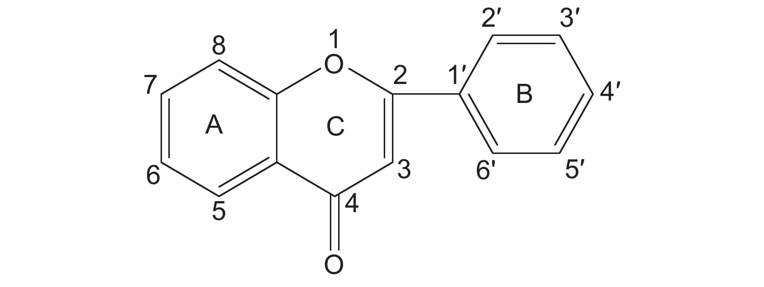
  • 摘要: 莲(Nelumbo)是一种重要的水生经济作物,富含黄酮、生物碱、多糖等生物活性物质,可药食两用。目前在莲中已经鉴定出超过百种的黄酮类化合物,包括芦丁、槲皮素、金丝桃苷等,这些物质具有抑菌抗炎、降脂减肥、抗氧化等多种药用功效。本文介绍了莲黄酮类化合物的种类,以及包括大孔树脂色谱法和高效液相色谱-质谱联用法在内的提取与鉴定方法,并对莲黄酮类化合物的功能活性、功能产品开发及其在疾病治疗中的最新应用进行了系统总结,以期为莲黄酮类化合物的科学研究和综合利用提供参考。

     

    Abstract: Lotus (Nelumbo) is an economically important aquatic crop and contains abundant bioactive compounds, such as flavonoids, alkaloids, and polysaccharides. More than 100 flavonoids have been identified in lotus, including rutin, quercetin, and chrysin, which exhibit various antibacterial, anti-obesity, and antioxidant medicinal properties. In this review, we introduce the types of flavonoids in lotus and various effective extraction and identification methods, including microporous resin chromatography (MPRC) and high-performance liquid chromatography tandem mass spectrometry (HPLC-MS/MS). Moreover, the functional activities of flavonoids in lotus and their latest applications, including disease treatment and functional product development, are further summarized. This review provides a reference for future research and the comprehensive utilization of lotus flavonoids.

     

/

返回文章
返回