Abstract:
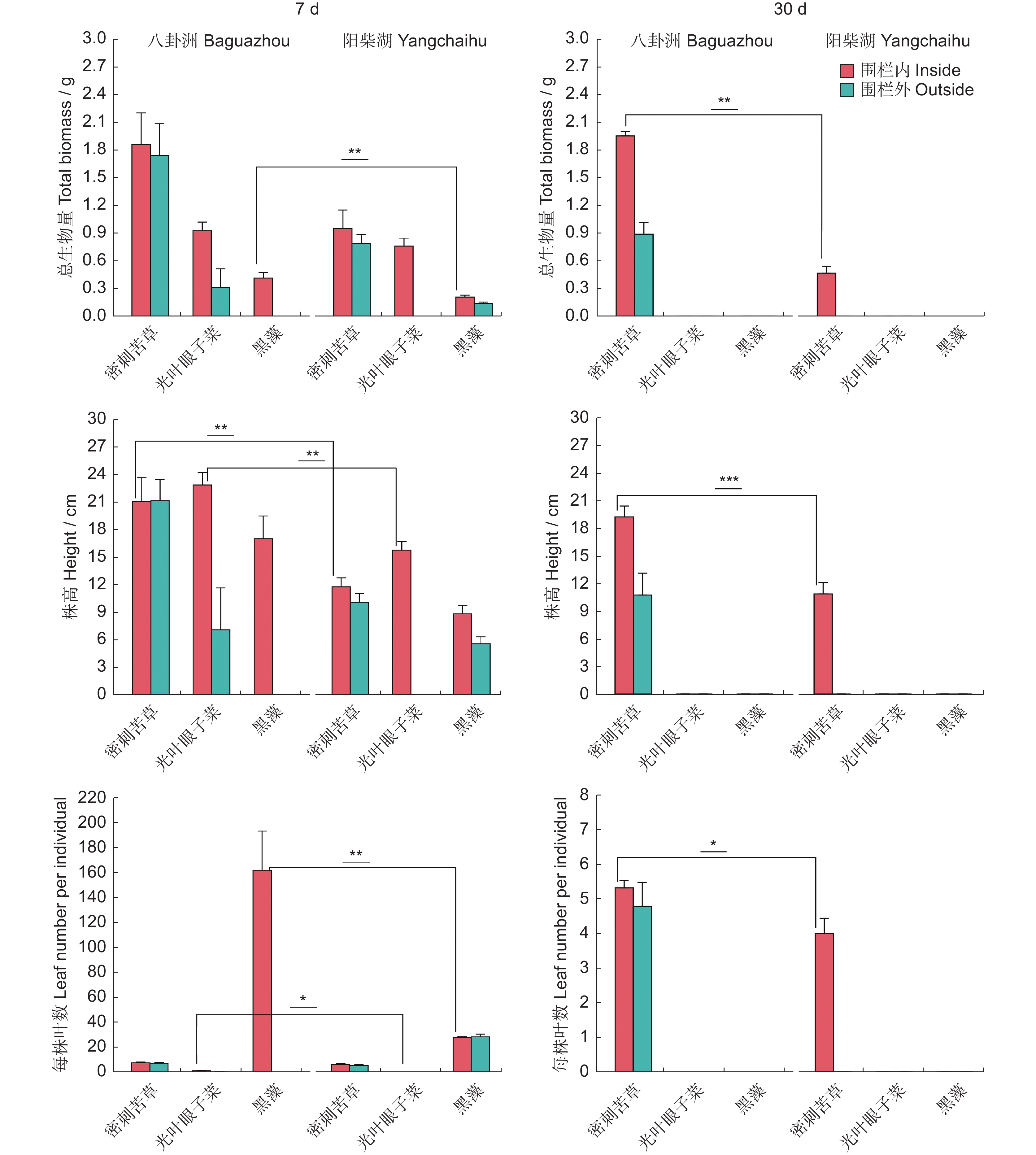
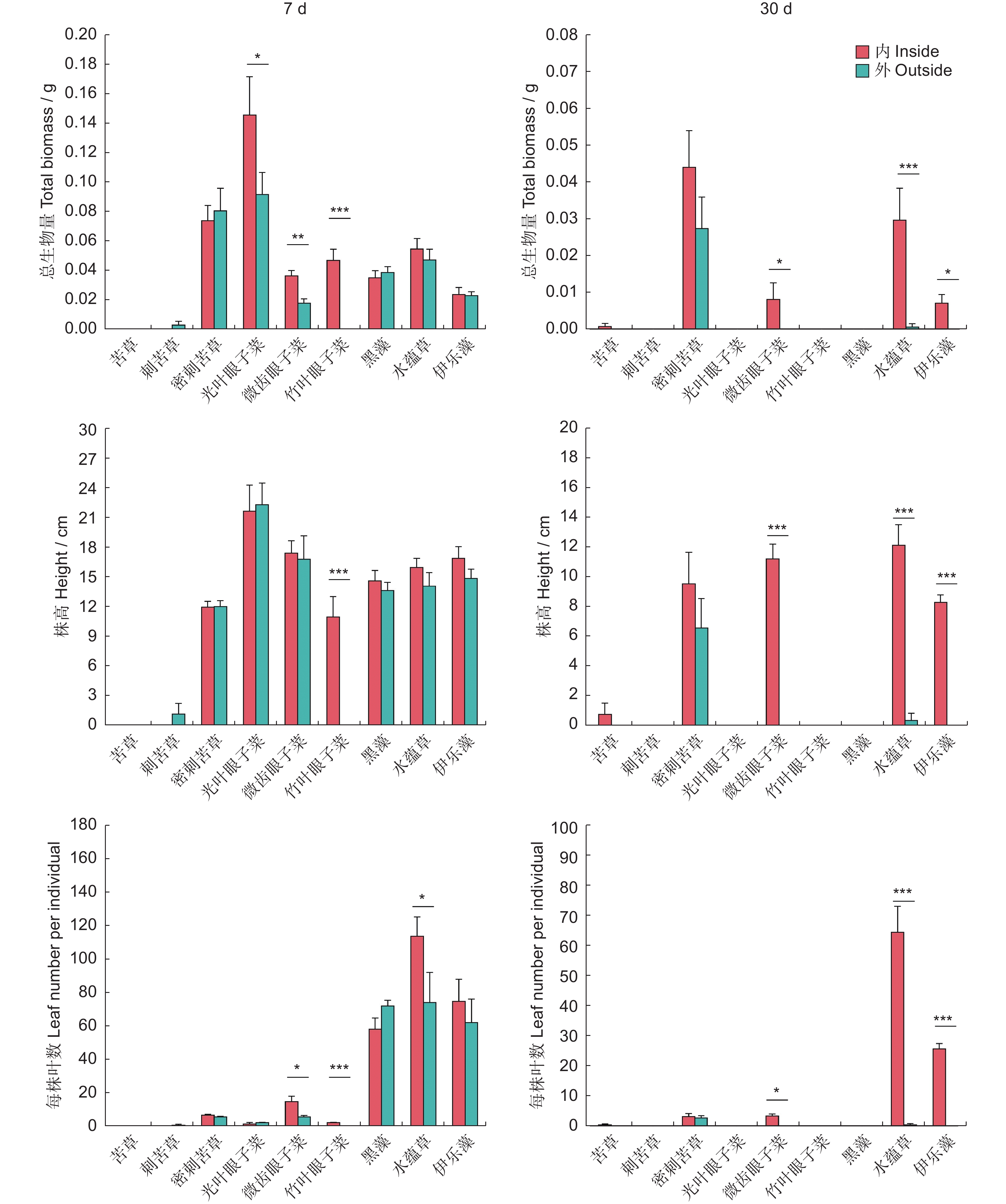
To explore the effects of different environmental factors on the recovery of submerged macrophytes, two enclosures were established in two different types of restored sites (Yangchaihu and Baguazhou) to investigate the roles of influencing factors, e.g., types of restoration method, inner and outside enclosures, length of growing period (7 d and 30 d), and macrophyte species, on macrophyte growth. Results showed that restored sites retaining a partial bank from the former fishery enclosure, exhibiting an advantage of reduced wind, were more conducive to macrophyte community restoration than restored sites with total bank removal. Macrophyte species was also an important factor affecting macrophyte growth. Among the nine selected species,
Vallisneria denseserrulata emerged as the best pioneer species for Honghu Lake. Certain species (e.g.,
Hydrilla verticillata) showed differences between the interior and exterior of the enclosure, indicating that herbivorous or omnivorous fish were also potentially important for macrophyte growth. In summary, our study indicated that preserving the bank of fishery enclosures after fishery removal can facilitate the recovery of macrophyte communities. In addition, the construction of protective enclosures is critical for rapid establishment of macrophyte communities.